稍等片刻...
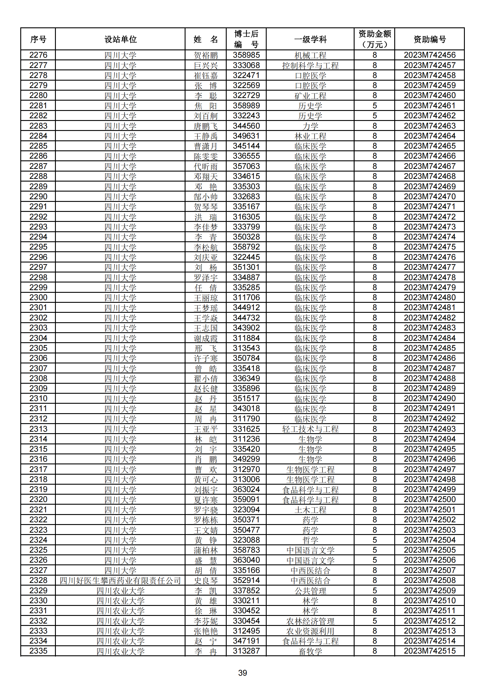
2023年11月,中国博士后科学基金会公布了第74批博士后面上资助人员名单,成都杜甫草堂博物馆博士后盛慧成功入围。中国博士后科学基金是专门用于资助在站博士后科研工作的基金,旨在促使具有发展潜力和创新能力的优秀博士后进行创新研究,培养跨学科、具有复合型和战略性特点的博士后人才队伍。
成都杜甫草堂博物馆于2022年5月与四川大学文学与新闻学院、四川师范大学文学院联合共建博士后创新实践基地。盛慧博士后于2023年8月经全国博士后管理委员会办公室备案审批入站,是该基地创建以来本馆与四川大学文学与新闻学院博士后流动站联合招收的第一位博士后,研究领域为新时期以来中国诗歌与绘画关系研究。
成都杜甫草堂博物馆首位博士后的引进及其研究工作的顺利开展,标志着成都杜甫草堂博物馆在学术研究和人才培养方面迈出了重要的一步。

